Страница 1 из 5
					
				Константы Е1, Е2, Е3, S
				Добавлено: 14 апр 2009, 17:47
				 wowkolak
				Уважаемые разработчики и коллеги.
К своему стыду обнаружил что не понимаю значение этих констант (Е1, Е2, Е3, S).
И если описание того, что обозначают эти параметры для Е3 (
http://forum.integral.ru/forum/viewtopic.php?f=29&t=516) и S (
http://forum.integral.ru/forum/viewtopi ... 789#p79789) еще можно найти на форуме поковырявшись с поиском то что такое Е1 и Е2 и как они влияют на расчет я не нашел.
В связи с чем просьба направьте в соответствующий источник, а еще лучше прямо здесь напишите (если не трудно). 
Заранее спасибо.
 
			
					
				Re: Константы Е1, Е2, Е3, S
				Добавлено: 14 апр 2009, 20:31
				 Вадим Зыков
				E1 и E2, константы, которые разбивали источники выброса на две группы. Группа, которая влияет на расчет рассеивания, и группа, которая не влияет на расчет рассеивания. 
Раньше, когда компьютеры были слабенькими, то эти константы упрощали им задачи расчета рассеивания, что бы компьютеры сутками не считали.
Сейчас эти константы не так важны, так как компьютеры мощные.
Значения констант Е1 и Е2 выставлены по рекомендациям от специалистов ГГО им. А.И. Воейкова и их можно не менять.
			 
			
					
				Re: Константы Е1, Е2, Е3, S
				Добавлено: 14 апр 2009, 20:39
				 wowkolak
				1.Константы Е1 и Е2 как нибудь соотносятся с формулой М/ПДК<=Е3? или нет?
2.Сейчас (на мощных компьютерах) проводится ли ранжирование источников по этим константам?
3.Можно ли ссылку на первоисточник с указанием собственно всей подоплеки по этим константам?
4.Возможно ли принять константы Е1-3 равными например 0,000001 (чтобы программа не отсекала расчеты по которым расчет не целесообразен)?
			 
			
					
				Re: Константы Е1, Е2, Е3, S
				Добавлено: 15 апр 2009, 11:58
				 Вадим Зыков
				Источники, учитываемые в расчете, делятся на определяющие и второстепенные. Автоматический перебор направлений ветра при расчете происходит с учетом всех определяющих источников предприятия. 
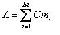
Упорядочим источники следующим образом: сначала будут располагаться все определяющие источники (от 1 до M), затем - все второстепенные (от M+1 до N). Источники располагаются в порядке убывания значения См. Для определяющих источников сумма всех максимальных концентраций в долях ПДК равна
			
		
				
			 
- 1.JPG (1.7 КБ) 14449 просмотров
 
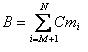
Для второстепенных источников сумма всех максимальных концентраций в долях ПДК равна
			
		
				
			 
- 2.JPG (1.89 КБ) 14450 просмотров
 
Для разделения источников на определяющие и второстепенные должны выполняться неравенства
B/A < E1
В < E2
Рекомендуемые значения расчетных констант E1 и E2 - 0.01.
где  N - количество источников, выбрасывающих вещество;
      Смi - максимальная приземная концентрация данного вещества, достигаемая за счет выбросов i-го источника.
Площадь города (влияния фона) введена для определения зоны влияния (интерполяции) фона. Площадь влияния фона задается, например, в тех случаях, когда предприятие находится далеко за пределами города, в котором находятся посты измерения величин фоновых концентраций. Фоновые концентрации убывают за пределами круга введенной площади с центром в центре тяжести имеющихся постов.
 
			
					
				Re: Константы Е1, Е2, Е3, S
				Добавлено: 15 апр 2009, 17:19
				 wowkolak
				1.Большое спасибо Вадим за развернутый ответ.
2.Судя по всему ранжирование источников в текущей версии применяется (ну раз константы все еще вводятся).
3.Если я правильно понял, второстепенные источники выбросов просто исключаются из расчетов. Это действительно так?
4.Не подскажете публикации, методические письма, то есть документы на которые можно сослаться, где рассмотрено то что Вы написали в предыдущем посте?
			 
			
					
				Re: Константы Е1, Е2, Е3, S
				Добавлено: 16 апр 2009, 16:01
				 Бурлаков
				В настройках можно изменить значения E1,E2,E3...и указать не 0,01 а макимальное 0,0001{вроде так..программа сама подскажет}....и тогда...""о чудо" можно получить концентрации, которые ранее отображались как "<0,01- расчет не целесообразен"...правда всеравно до -6 степень не получите....
			 
			
					
				Re: Константы Е1, Е2, Е3, S
				Добавлено: 16 апр 2009, 18:09
				 wowkolak
				Бурлаков писал(а):В настройках можно изменить значения E1,E2,E3...и указать не 0,01 а макимальное 0,0001{вроде так..программа сама подскажет}....и тогда...""о чудо" можно получить концентрации, которые ранее отображались как "<0,01- расчет не целесообразен"...правда всеравно до -6 степень не получите....
С этим я уже разобрался, спасибо.  [!ae] 
Но все таки остались вопросы:
3.Если я правильно понял, второстепенные источники выбросов просто исключаются из расчетов. Это действительно так?
4.Не подскажете публикации, методические письма, то есть документы на которые можно сослаться, где рассмотрено то что Вы написали в предыдущем посте?
 
			
					
				Re: Константы Е1, Е2, Е3, S
				Добавлено: 21 апр 2009, 14:24
				 Вадим Зыков
				см. п. 5.9 ОНД-86.
			 
			
					
				Re: Константы Е1, Е2, Е3, S
				Добавлено: 25 ноя 2011, 10:09
				 писатель
				Скажите кто-нибудь пожалуйста, что такое константа S???  Мне стыдно, но я не знаю
			 
			
					
				Re: Константы Е1, Е2, Е3, S
				Добавлено: 25 ноя 2011, 13:19
				 Вадим Зыков
				Площадь города (влияния фона) S - эта такая площадь в пределах, которой фон постоянный.
В программе строится круг равной этой площади, в пределах этого круга фон будет постоянным, а за пределами круга будет по экспоненте уменьшаться.
Центр круга выбирается по координате поста, если он один. Если постов несколько, то берется центр тяжести этих постов.
Не художник, но как-то так
Всё это будет работать, только если у постов есть координаты.