Инвентаризация выбросов
Модераторы: Ecolog-Julia, Kotucheny, Лёха, masm0
- 
				
yu.
   
- Эколог
- Сообщения: 1270
- Зарегистрирован: 16 окт 2017, 16:36
- Награды: 2
- Откуда: МО
- Благодарил (а): 170 раз
- Поблагодарили: 145 раз
Re: Инвентаризация выбросов
Добрый вечер, подскажите пожалуйста как в программу занести прямоугольное устье трубы 2,5х2,5 м, если есть только графа диаметр устья.
			
			
									
						- 
				Птица
   
- Эколог
- Сообщения: 2521
- Зарегистрирован: 28 мар 2007, 16:06
- Награды: 2
- Откуда: Екатеринбург
- Благодарил (а): 253 раза
- Поблагодарили: 522 раза
- Контактная информация:
Re: Инвентаризация выбросов
yu., Так по формуле которая есть в МРР-2017 высчитываете эффективный диаметр и подставляете. Это было всегда. И в ОНД-86 тоже была эта формула.
			
			
									
						- 
				
TRusT
     
- Эколог
- Сообщения: 939
- Зарегистрирован: 13 авг 2019, 15:13
- Награды: 3
- Откуда: Терра Инкогнита
- Благодарил (а): 242 раза
- Поблагодарили: 371 раз
Re: Инвентаризация выбросов
yu., а в какую программу вы вносите эти данные? В "Инвентаризации", например,есть отдельные поля для прямоугольного устья (эффективный диаметр пересчитывается автоматически). Полученное значение "эффективного диаметра" затем автоматом передается в ПДВ-Эколог и далее в УПРЗА
			
			
									
						- 
				Птица
   
- Эколог
- Сообщения: 2521
- Зарегистрирован: 28 мар 2007, 16:06
- Награды: 2
- Откуда: Екатеринбург
- Благодарил (а): 253 раза
- Поблагодарили: 522 раза
- Контактная информация:
Re: Инвентаризация выбросов
TRusT, В ПДВ-Эколог нет прямоугольного устья и в УПРЗА Эколог. Есть предприятия которые закупают только УПРЗА
			
			
									
						- 
				
nekulikov
 
- Эколог
- Сообщения: 125
- Зарегистрирован: 16 май 2019, 11:33
- Откуда: Ставрополь
- Благодарил (а): 65 раз
- Поблагодарили: 25 раз
Re: Инвентаризация выбросов
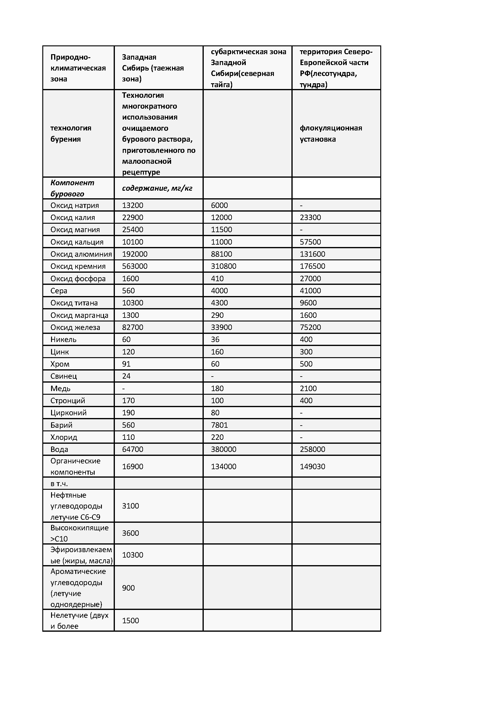
Уважаемые коллеги, подскажите, пожалуйста! 
Есть термодеструкционная установка на дизельном топливе Фактор-500 ПС для утилизации буровых шламов.
Производительность 8 т/час, температура в камере сгорания до 800 градусов, в дожигателе не более 1000 градусов Цельсия.
Для нее необходима инвентаризация выбросов.
Для инвентаризации предполагается использовать инструментальные замеры.
На основании чего можно отобрать вещества на замеры и обосновать их выбор конкретно для буровых шламов?
На руках есть паспорт установки, положительная ГЭЭ на нее и ИТС 9-2020.
В ГЭЭ и ИТС указываются возможные вещества, но без разделения на утилизируемые отходы и их перечень очень обширный, в том числе есть Диоксины.
Так вот, как по хорошему выбрать вещества для замеров и желательно избежать диоксины?
Может быть сделать запрос в НИИ Атмосферы или еще куда?
Был у кого подобный опыт с подобными установками?
			
			
									
						Есть термодеструкционная установка на дизельном топливе Фактор-500 ПС для утилизации буровых шламов.
Производительность 8 т/час, температура в камере сгорания до 800 градусов, в дожигателе не более 1000 градусов Цельсия.
Для нее необходима инвентаризация выбросов.
Для инвентаризации предполагается использовать инструментальные замеры.
На основании чего можно отобрать вещества на замеры и обосновать их выбор конкретно для буровых шламов?
На руках есть паспорт установки, положительная ГЭЭ на нее и ИТС 9-2020.
В ГЭЭ и ИТС указываются возможные вещества, но без разделения на утилизируемые отходы и их перечень очень обширный, в том числе есть Диоксины.
Так вот, как по хорошему выбрать вещества для замеров и желательно избежать диоксины?
Может быть сделать запрос в НИИ Атмосферы или еще куда?
Был у кого подобный опыт с подобными установками?
- 
				
Алекс999
 
- Эколог
- Сообщения: 119
- Зарегистрирован: 03 авг 2022, 11:02
- Откуда: Красндар
- Благодарил (а): 33 раза
- Поблагодарили: 25 раз
Re: Инвентаризация выбросов
nekulikov, опыта не было, но если речь о выбросах, начал бы с перечня утвержденных методик. 
Единственная похожая
"Методические указания по расчету выбросов загрязняющих веществ в атмосферу от установок малой производительности по термической переработке твердых бытовых отходов и промотходов. М., 1999"
Оксиды азота Оксиды серы Оксиды углерода Хлористый водород Фтористый водород Оксиды ванадия
ВНИИгаз 142717, Московская обл. п. Развилка,
ВНИИГАЗ АКХ им. К. Д. Памфилова 123371, г. Москва, Волоколамское шоссе, 116
НИИ по промышленной и санитарной очистке газов
АО "Промэкология"
Может, там будет перечень исходных данных для расчетов и возможные варианты выбросов.
И не очень понятно, что именно вы сжигали или собираетесь сжигать. У вас нет анализов состава отходов?
Если нет исходных данных, то надо искать примеры, наверное. Буровых шламов не бесконечное число, и их ожидаемые вид и состав ещё на этапе проектирования определяют.
			
			
									
						Единственная похожая
"Методические указания по расчету выбросов загрязняющих веществ в атмосферу от установок малой производительности по термической переработке твердых бытовых отходов и промотходов. М., 1999"
Оксиды азота Оксиды серы Оксиды углерода Хлористый водород Фтористый водород Оксиды ванадия
ВНИИгаз 142717, Московская обл. п. Развилка,
ВНИИГАЗ АКХ им. К. Д. Памфилова 123371, г. Москва, Волоколамское шоссе, 116
НИИ по промышленной и санитарной очистке газов
АО "Промэкология"
Может, там будет перечень исходных данных для расчетов и возможные варианты выбросов.
И не очень понятно, что именно вы сжигали или собираетесь сжигать. У вас нет анализов состава отходов?
Если нет исходных данных, то надо искать примеры, наверное. Буровых шламов не бесконечное число, и их ожидаемые вид и состав ещё на этапе проектирования определяют.
- 
				
Лёха
         
- Заслуженный эколог
- Сообщения: 6109
- Зарегистрирован: 18 июн 2010, 19:46
- Награды: 7
- Откуда: с. Кручи
- Благодарил (а): 1145 раз
- Поблагодарили: 2472 раза
Re: Инвентаризация выбросов
А теперь давайте поиграем в игру - "Найди ванадий" )))ДТ состоит из углеводородов:
парафиновые — до 10-40%. Алканы и нефтяные парафины с 18-35 атомами водорода и углерода.
нафтеновые — 20-60%. Циклоалканы — циклические насыщенные углеводороды, преимущественно циклогексан и циклопентан.
ароматических — 15-30%. Арены — органические циклические соединения с ароматической системой — бензольным кольцом: 6 углеродно-водородными группами в углах молекулярного шестиугольника.
Также в составе дизельного топлива ГОСТ 305 2013 также могут быть:
смолы;
соединения серы;
вода;
механические примеси;
красители.
И так, исходя из состава бурового шлама и дизтоплива будут продукты горения нефтепродуктов и конечно же диоксины (т.к. температура как раз для них - 800 грд Цельсия)
- Вложения
- 
			
		
		
				 vybor-optimalnoy-sistemy-zaschity-atmosfernogo-vozduha-ot-gazoobraznyh-vybrosov-pri-termicheskoy-utilizatsii-burovogo-shlama.pdf vybor-optimalnoy-sistemy-zaschity-atmosfernogo-vozduha-ot-gazoobraznyh-vybrosov-pri-termicheskoy-utilizatsii-burovogo-shlama.pdf
- А это вот статья где авторы прям вещества определяли
- (266.07 КБ) 319 скачиваний
 
A thabhairt do dhuine ar sprioc fiú maireachtáil ar feadh, agus beidh sé a bheith in ann maireachtáil in aon staid
			
						- 
				
DDim
       
- Эколог
- Сообщения: 4496
- Зарегистрирован: 12 дек 2011, 15:22
- Награды: 5
- Откуда: Москва
- Благодарил (а): 1131 раз
- Поблагодарили: 1467 раз
- Контактная информация:
Re: Инвентаризация выбросов
Офтопик
у них там наверняка что-нибудь хром-ванадиевыми ключами куда нить прикручивают и исходя из презумпции экологической опасности любой намечаемой деятельности нужно его при инвентаризации замерить - вдруг ключ в шлам уронили и не заметили!
Из на голову ушибленных
			
						- 
				
Лёха
         
- Заслуженный эколог
- Сообщения: 6109
- Зарегистрирован: 18 июн 2010, 19:46
- Награды: 7
- Откуда: с. Кручи
- Благодарил (а): 1145 раз
- Поблагодарили: 2472 раза
Re: Инвентаризация выбросов
DDim, не.. Все же сначала нужно ориентироваться на состав сжигаемых буровых шламов. По большому счету (это отмечаю не только я) так называемое "сжигание буровых шламов" никакое не сжигание, а прокаливание, где органика подвергается температурной деструкции, неорганические соединения обезвоживаются, а оксиды металлов... а они так и остаются оксидами металлов )))) Если кто-то думает металлы (за исключением золота, серебра и платиновой группы, конечно) существуют в природной среде в чистом виде, то у меня для них плохие новости.
			
			
									
						Офтопик
И он с-ка - сгорел!!!!
A thabhairt do dhuine ar sprioc fiú maireachtáil ar feadh, agus beidh sé a bheith in ann maireachtáil in aon staid
			
						- 
				
kentavrik
   
- Заслуженный эколог
- Сообщения: 3341
- Зарегистрирован: 24 сен 2015, 09:49
- Награды: 1
- Откуда: Санкт-Петербург
- Благодарил (а): 666 раз
- Поблагодарили: 790 раз
Re: Инвентаризация выбросов
наоборот нужно не избегать а усердствовать в этой теме. Вот подумайте, как бы Вам провести инвентаризацию (отбор некоторого количества ГВС), чтобы показать количество вторично синтезирующихся диоксинов. Это было бы полезно всем (ну кроме Вашего директора, который, конечно, хочет чтобы измерялся только углерод оксид и хорэ) :)
Ничего не сказала золотая рыбка,
Лишь хвостом по воде плеснула
И ушла в глубокое море.
			
						Лишь хвостом по воде плеснула
И ушла в глубокое море.
- 
					- Похожие темы
- Ответы
- Просмотры
- Последнее сообщение
 
- 
						
- 12 Ответы
- 4043 Просмотры
- 
								Последнее сообщение  lika milay																			
											
										
																		
 
 
- 
						
- 0 Ответы
- 3478 Просмотры
- 
								Последнее сообщение  Вадим Зыков																			
											
										
																		
 
 
- 
						
- 0 Ответы
- 2518 Просмотры
- 
								Последнее сообщение  Кирилл Честнов																			
											
										
																		
 
 
- 
						
- 2 Ответы
- 2743 Просмотры
- 
								Последнее сообщение  Andrew-Feo																			
											
										
																		
 
 
- 
						
- 3 Ответы
- 5361 Просмотры
- 
								Последнее сообщение  Boris_R																			
											
										
																		
 
 








