Расчет отходов от очистных сооружений, ливневой канализации, оборудования водоподготовки
Модераторы: Kotucheny, Raccoon
Фильтрующая загрузка
кто-нибудь знает как посчитать фильтрующую загрузку от очистных?????помогите....[!cheers][:-((]
Re: Ручная мойка автотранспорта
Подскажите пожалуйста, мы моем вагоны от глинозема, замкнутый цикл, вода очищается гидроциклоном, как посчитать вот этот шлам который образуется в гидроциклоне? Спасибо заранее.yana78 писал(а):Все-таки карма существует - сегодня дали аналогичный объект, но у них ,к счастью, автомойка оборотного цикла, т.е., вода просто доливается, и периодически вывозится песок из отстойника. Но мне тут пришло в голову - может попробовать взять ваши стоки как 9480000000000 Отходы (осадки) при обработке сточных вод, не вошедшие в другие позиции. Понятное дело, что это не совсем верно - но у нас ФККО на ОТХОДЫ, а вода как бы по умолчанию не очень отход. Не знаю, чем вам еще помочь.
Re: Отходы от мойки грузовых ж/д вагонов
К сожалению в паспорте не указан состав отхода, его влажность.
-
alex27
- Заслуженный эколог
- Сообщения: 2028
- Зарегистрирован: 17 фев 2008, 13:43
- Награды: 7
- Откуда: СПб
- Благодарил (а): 345 раз
- Поблагодарили: 452 раза
Re: Отходы от мойки грузовых ж/д вагонов
Возьмите влажность 90%, т.е. делите на 0.1, будет близко к истине.
Если вам понравилось мое сообщение, нажмите кнопку "СПАСИБО"
Re: Фильтрующая загрузка
Всем привет!
Вот пишу диплом.
Перерыла весь интернет и кучу литературы, но так и не нашла более менее понятного расчета.
Мне надо рассчитать количество фильтрующей загрузки- а конкретно брусит.
Буду очень признательна, если кто нибудь поможет.
Вот пишу диплом.
Перерыла весь интернет и кучу литературы, но так и не нашла более менее понятного расчета.
Мне надо рассчитать количество фильтрующей загрузки- а конкретно брусит.
Буду очень признательна, если кто нибудь поможет.
-
Вадим Зыков
- Интеграл
- Сообщения: 5880
- Зарегистрирован: 27 июн 2005, 13:41
- Откуда: Санкт-Петербург
- Благодарил (а): 254 раза
- Поблагодарили: 2991 раз
- Контактная информация:
Re: Фильтрующая загрузка
Вот тут можно посмотреть - Re: количество осадка при очистке произ-дожд стоков. Не совсем то.
Интегрируй форум в Яндекс
P.S. Вопросы по работе с программами или выбору программ прошу писать либо на форуме в соответствующих темах, либо по электронной почте. В ЛС на такие вопросы не отвечаю. Прошу понять правильно.
P.S. Вопросы по работе с программами или выбору программ прошу писать либо на форуме в соответствующих темах, либо по электронной почте. В ЛС на такие вопросы не отвечаю. Прошу понять правильно.
Расчет отходов от очистных сооружений Топас
Добрый день! Сделала проект для организации, у них биологические очистные сооружения TOPAS 15. Получила отказ на проект с замечанием: расчет отходов от очистных сооружений биологической очистки представить в соответствии со СНиП "Канализация". В проекте у меня был посчитан осадок от очистных по формуле
С = V х N х 10–2 х p, (т), где
V — объем сточных вод, (м3);
N — удельное образование осадка при биологической очистке сточных вод от общего объема сточных вод, (0,5-1,0%, принимаем 1,0%);
p — плотность осадка, (принимаем 1,5 т/м3);
Объем сточных вод рассчитывается по формуле:
V = П х n х 365 х 10-3 (м3), где
П — водопотребление (12 л/день на одного человека для неканализированных районов);
n — численность, (чел.).
Раньше всегда принимали этот расчет. Теперь нет. Подскажите, пожалуйста, может кто-то считал отходы по этому СНиПу и как это сделать?
С = V х N х 10–2 х p, (т), где
V — объем сточных вод, (м3);
N — удельное образование осадка при биологической очистке сточных вод от общего объема сточных вод, (0,5-1,0%, принимаем 1,0%);
p — плотность осадка, (принимаем 1,5 т/м3);
Объем сточных вод рассчитывается по формуле:
V = П х n х 365 х 10-3 (м3), где
П — водопотребление (12 л/день на одного человека для неканализированных районов);
n — численность, (чел.).
Раньше всегда принимали этот расчет. Теперь нет. Подскажите, пожалуйста, может кто-то считал отходы по этому СНиПу и как это сделать?
| M! | Просьба ознакомиться с правилами и пользоваться "поиском" по форуму перед созданием новых тем |
-
Ecolog-Julia
- Модератор
- Сообщения: 1932
- Зарегистрирован: 14 ноя 2007, 22:43
- Награды: 9
- Откуда: Санкт-Петербург
- Благодарил (а): 861 раз
- Поблагодарили: 1041 раз
Re: Расчет отходов от очистных сооружений
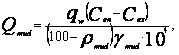
В соответствии со СНиП 2.04.03-85 Канализация. Наружные сети и сооружения п. 6.65 "Количество осадка Qmud, м3/ч, выделяемого при отстаивании, надлежит определять исходя из концентрации взвешенных веществ в поступающей воде Cen и концентрации взвешенных веществ в осветленной воде Cex:
рmud — влажность осадка, %;
ymud — плотность осадка, г/см3."
где qw — расход сточных вод, м3/ч;
рmud — влажность осадка, %;
ymud — плотность осадка, г/см3."
Re: Расчет отходов от очистных сооружений
Добрый день! Если кому-то интересно, то вот каким расчетом удовлетворился эксперт.
Отходы (осадки) при биологической очистке сточных вод
Образуются при биологической очистки хоз-бытовх сточных вод (очистные ТОРАS 15).
Количество осадков рассчитывается по формуле:
С = qw х Pi х 10–6 х р х k + Qотс, (т), где
qw — объем сточных вод, (м3);
Pi — прирост активного ила, (мг/л) ;
р — плотность активного ила, (принимаем 1,2 т/м3);
k – коэффициент обводненности осадка;
Qотс – осадок отстойника установки..
Объем сточных вод рассчитывается по формуле:
qw = П х n х 365 х 10-3 (м3/год), где
П — водоотведение (25 л/день на одного человека для неканализированных районов согласно [20]);
n — численность, (чел.).
qw = 43 х 25 х 365 х 10-3 = 392,38 м3
Согласно [20] прирост активного ила рассчитывается по формуле
Рi = 0,8 х Сcdp + Kg + Len (мг/л), где
Сcdp – концентрация взвешенных веществ в сточной воде, поступающей в аэротенк (мг/л) (32,5 мг/л согласно протоколу КХА);
Кg – коэффициент прироста (0,3 согласно согласно [20]);
Len – БПКполн поступающей в аэротенк сточной воды (2,9 мг/л согласно протоколу КХА);
Pi = 0,8 х 32,5 + 0,3 х 2,9 = 22,62 мг/л
Осадок отстойника установки (согласно [17]) рассчитывается по формуле:
Qотс = qw х (Сев – Сех) х 10-6, т/год, где
qw - объем сточных вод, (м3);
Сев – содержание взвешенных веществ в воде перед установкой, (мг/л) (32,5 мг/л согласно протоколу КХА);
Сех - содержание взвешенных веществ в осветленной воде (мг/л) (8.8 мг/л согласно протоколу КХА).
Qотс = 392,38 х (32,5 – 8,8 ) х 10-6 = 0,009 т/год
С = 392,38 х 22,62 х 10–6 х 1,2 х 1,9 + 0,009 = 0,029 т.
17. Методические рекомендации по оценке объемов образования отходов производства и потребления, ГУ НИЦПУРО, 2003 г.
20. СНиП 2.04.03-85 «Канализация. Наружные сети и сооружения»
Отходы (осадки) при биологической очистке сточных вод
Образуются при биологической очистки хоз-бытовх сточных вод (очистные ТОРАS 15).
Количество осадков рассчитывается по формуле:
С = qw х Pi х 10–6 х р х k + Qотс, (т), где
qw — объем сточных вод, (м3);
Pi — прирост активного ила, (мг/л) ;
р — плотность активного ила, (принимаем 1,2 т/м3);
k – коэффициент обводненности осадка;
Qотс – осадок отстойника установки..
Объем сточных вод рассчитывается по формуле:
qw = П х n х 365 х 10-3 (м3/год), где
П — водоотведение (25 л/день на одного человека для неканализированных районов согласно [20]);
n — численность, (чел.).
qw = 43 х 25 х 365 х 10-3 = 392,38 м3
Согласно [20] прирост активного ила рассчитывается по формуле
Рi = 0,8 х Сcdp + Kg + Len (мг/л), где
Сcdp – концентрация взвешенных веществ в сточной воде, поступающей в аэротенк (мг/л) (32,5 мг/л согласно протоколу КХА);
Кg – коэффициент прироста (0,3 согласно согласно [20]);
Len – БПКполн поступающей в аэротенк сточной воды (2,9 мг/л согласно протоколу КХА);
Pi = 0,8 х 32,5 + 0,3 х 2,9 = 22,62 мг/л
Осадок отстойника установки (согласно [17]) рассчитывается по формуле:
Qотс = qw х (Сев – Сех) х 10-6, т/год, где
qw - объем сточных вод, (м3);
Сев – содержание взвешенных веществ в воде перед установкой, (мг/л) (32,5 мг/л согласно протоколу КХА);
Сех - содержание взвешенных веществ в осветленной воде (мг/л) (8.8 мг/л согласно протоколу КХА).
Qотс = 392,38 х (32,5 – 8,8 ) х 10-6 = 0,009 т/год
С = 392,38 х 22,62 х 10–6 х 1,2 х 1,9 + 0,009 = 0,029 т.
17. Методические рекомендации по оценке объемов образования отходов производства и потребления, ГУ НИЦПУРО, 2003 г.
20. СНиП 2.04.03-85 «Канализация. Наружные сети и сооружения»
-
zanoza
- Новичок
- Сообщения: 20
- Зарегистрирован: 04 сен 2009, 05:42
- Откуда: Красноярск
- Благодарил (а): 13 раз
Re: Расчет отходов от очистных сооружений
Добрый день! Пожалуйста, подскажите всё же, как считаются отходы (осадки) от реагентной очистки сточных вод. Желательно с ссылкой на источник.
-
ОльгаМур
- Эколог
- Сообщения: 90
- Зарегистрирован: 07 окт 2010, 10:32
- Откуда: Красноярск
- Благодарил (а): 14 раз
- Поблагодарили: 3 раза
Re: Расчет образования избыточного активного ила
yana78
Здравствуйте! А из какой методики взята формула для расчета?
Здравствуйте! А из какой методики взята формула для расчета?
-
- Похожие темы
- Ответы
- Просмотры
- Последнее сообщение
-
- 11 Ответы
- 4035 Просмотры
-
Последнее сообщение Парване
-
- 3 Ответы
- 9899 Просмотры
-
Последнее сообщение Anastasiya.Su_Су
-
- 2 Ответы
- 7302 Просмотры
-
Последнее сообщение DDim
-
- 17 Ответы
- 3524 Просмотры
-
Последнее сообщение Юрий Михалыч
-
- 8 Ответы
- 8540 Просмотры
-
Последнее сообщение Птица
