это я знаю и с этим совсем не спорю:)) но считать температуру и давление для их учета увольте :)))
Параметры отходящих газов в выхлопной трубе машины
Модераторы: Ecolog-Julia, Kotucheny, Лёха, masm0
Правила форума
Правила форума | Содержание раздела
Правила форума | Содержание раздела
-
TRusT
- Эколог
- Сообщения: 939
- Зарегистрирован: 13 авг 2019, 15:13
- Награды: 3
- Откуда: Терра Инкогнита
- Благодарил (а): 242 раза
- Поблагодарили: 371 раз
Re: Параметры отходящих газов в выхлопной трубе машины
-
kentavrik
- Заслуженный эколог
- Сообщения: 3369
- Зарегистрирован: 24 сен 2015, 09:49
- Награды: 1
- Откуда: Санкт-Петербург
- Благодарил (а): 672 раза
- Поблагодарили: 794 раза
Re: Параметры отходящих газов в выхлопной трубе машины
TRusT, И да Вы сами признаете, что расчет грубый. Кто- то может, допустим, еще точнее, от того в горку машина едет или с горки обьем поди тоже меняется из-за оборотов движка. И вот и вопрос, а закондательно не должно быть определено насколько грубым может быть расчет?
Ничего не сказала золотая рыбка,
Лишь хвостом по воде плеснула
И ушла в глубокое море.
Лишь хвостом по воде плеснула
И ушла в глубокое море.
-
TRusT
- Эколог
- Сообщения: 939
- Зарегистрирован: 13 авг 2019, 15:13
- Награды: 3
- Откуда: Терра Инкогнита
- Благодарил (а): 242 раза
- Поблагодарили: 371 раз
Re: Параметры отходящих газов в выхлопной трубе машины
чтобы понять насколько груб расчет, нужно сравнить его с фактом, тадаммм... а есть у кого-нибудь реальные замеры этих параметров от автомобилей, какие значения получились в результате замеров? Я вот искал для интереса в инете и ничего вразумительного не нашел (наверное не там искал). Интересуют именно фактические замеры, а не информация из статей, учебников и т.п., а то может и правда скорость на выходе 100-140 м/с и мы зря ржём аки кони?kentavrik писал(а): 05 дек 2022, 09:47 . И вот и вопрос, а закондательно не должно быть определено насколько грубым может быть расчет?
Последний раз редактировалось TRusT 05 дек 2022, 11:45, всего редактировалось 1 раз.
-
Wespe
- Заслуженный эколог
- Сообщения: 3633
- Зарегистрирован: 09 апр 2010, 19:01
- Награды: 6
- Откуда: Каракас
- Благодарил (а): 696 раз
- Поблагодарили: 717 раз
Re: Параметры отходящих газов в выхлопной трубе машины
Повторяю предложение. Поставьте руку напротив выхлопной трубы, даже попросите водителя газануть, если руку оторвёт/сломает/вывихнет/пальцы посыпятся и т.п. то и правда есть смысл говорить о скорости на выходе в 100-140 м/с.
"Трудно стало работать. Развелось много идиотов, говорящих правильные слова." (с)
-
TRusT
- Эколог
- Сообщения: 939
- Зарегистрирован: 13 авг 2019, 15:13
- Награды: 3
- Откуда: Терра Инкогнита
- Благодарил (а): 242 раза
- Поблагодарили: 371 раз
Re: Параметры отходящих газов в выхлопной трубе машины
к сожалению это очень грубый метод определения скорости, к тому же документально его сможет подтвердить только хирург, психиатр и прочие профильные специалисты :)
-
Wespe
- Заслуженный эколог
- Сообщения: 3633
- Зарегистрирован: 09 апр 2010, 19:01
- Награды: 6
- Откуда: Каракас
- Благодарил (а): 696 раз
- Поблагодарили: 717 раз
Re: Параметры отходящих газов в выхлопной трубе машины
Тогда только анемометр...TRusT писал(а): 05 дек 2022, 11:04 к сожалению это очень грубый метод определения скорости, к тому же документально его сможет подтвердить только хирург, психиатр и прочие профильные специалисты :)
"Трудно стало работать. Развелось много идиотов, говорящих правильные слова." (с)
-
Лёха
- Заслуженный эколог
- Сообщения: 6152
- Зарегистрирован: 18 июн 2010, 19:46
- Награды: 7
- Откуда: с. Кручи
- Благодарил (а): 1148 раз
- Поблагодарили: 2487 раз
Re: Параметры отходящих газов в выхлопной трубе машины
В соответствии с п. 1.8 РД 05-311-99 Температура поверхности наиболее нагреваемой части дизельного двигателя транспортной машины не должна превышать 150 °С, а температура выхлопных газов после очистки и охлаждения на выходе в рудничную атмосферу должна быть не более 70 °С.
Температура выхлопных газов на выходе из глушителя легкового атомобиля 50-60 °С
Отправлено спустя 9 минут 33 секунды:
Выхлоп дизеля (выпускной коллектор) - 540–650 °С
Выхлоп бензинового двигателя (выпускной коллектор) - 760–980 °С
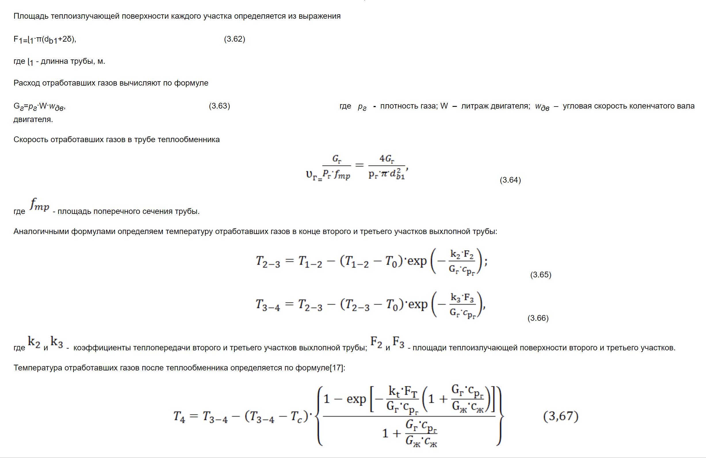
Далее, если на словах, пройдя относительно долгий путь, в первую очередь через "штаны" гасится около 30% температуры за счёт потока встречного воздуха во время движения. Затем пламегаситель, где вместе с искрами температура снижается ещё в 1,5 раза, и в заключении резонатор гасит температуру до 50–95 °С. И не забывайте, что между каждым из частей глушителя газ проходит по трубам, которые тоже играют свою роль в снижении температуры выхлопных газов.
А расчет на картинке
Температура выхлопных газов на выходе из глушителя легкового атомобиля 50-60 °С
Отправлено спустя 9 минут 33 секунды:
Выхлоп дизеля (выпускной коллектор) - 540–650 °С
Выхлоп бензинового двигателя (выпускной коллектор) - 760–980 °С
Далее, если на словах, пройдя относительно долгий путь, в первую очередь через "штаны" гасится около 30% температуры за счёт потока встречного воздуха во время движения. Затем пламегаситель, где вместе с искрами температура снижается ещё в 1,5 раза, и в заключении резонатор гасит температуру до 50–95 °С. И не забывайте, что между каждым из частей глушителя газ проходит по трубам, которые тоже играют свою роль в снижении температуры выхлопных газов.
А расчет на картинке
A thabhairt do dhuine ar sprioc fiú maireachtáil ar feadh, agus beidh sé a bheith in ann maireachtáil in aon staid
-
- Похожие темы
- Ответы
- Просмотры
- Последнее сообщение
-
- 1 Ответы
- 2904 Просмотры
-
Последнее сообщение lomanya
